|
Directions: Simplify these rational expressions as directed.
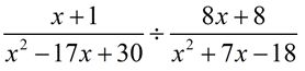
1. |
Given , rewrite the expression in the form where a(x), b(x), q(x) and r(x) are polynomials and the
degree of r(x) is less than the degree of b(x)
|
|
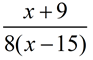
2. |
a) State the restrictions on the expression:
b) Combine and simplify the expression.
Choose:
|
|
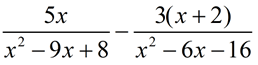
3. |
Subtract and simplify:
|
|
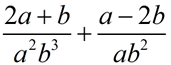
4. |
Add and simplify:
|
|
|
5. |
Simplify:
|
|
6. |
Simplify:
Hint: remember order of operations!
Choose:
|
|
7. |
TRUE or FALSE? 
|
|
8. |
a) State the restrictions on the expression:
b) Combine and simplify the expression.
Choose:
|
|
9. |
Simplify:
|
|
|
10. |
Simplify:
|
|

NOTE: The re-posting of materials (in part or whole) from this site to the Internet
is copyright violation
and is not considered "fair use" for educators. Please read the "Terms of Use". |
|