logo
Simplifying Rational Expressions:
Basic Skills
MathBitsNotebook.com

Topical Outline | Algebra 2 Outline | MathBits' Teacher Resources

Terms of Use   Contact Person: Donna Roberts
divider
Simplifying a rational expression is the same process as simplifying a numerical fraction.
simp3g
(A multiplicative identity when multiplied times a number does not change the number.)

dash

Steps to Simplifying Rational Expressions:

bullet Simplify and State the Domain of a Rational Expression:
Your teacher may ask you to state the "domains" of rational expressions.
The "domains" are those values for the variable(s) that will not create zero denominators.
Or your teacher may ask that you indicate the values that will "not be allowed"
since they create zero denominators in the rational expressions.

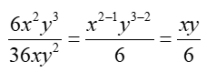
Simplify: simp2
1. If asked, determine the domain of the expression, looking for zero denominator problems.
1. Given: simp2     Domain: x ≠0, y≠0
2. Use your knowledge of working with exponents to simplify this rational expression.
2.
3. Consider the domain of the simplified expression. It appears that it could be "all Reals" since the denominator is never 0. But it is not!
3.. The domain of a simplified rational is always stated to be the same as the domain of the original expression. In this case, the domain remains "all real numbers, but not x = 0 and not y = 0".


beware Domains of Simplified Rational Expressions:
In the example above, the domain of the simplified expression appears to be "all real numbers", whereas the domain of the original expression was "all real numbers but not x = 0 or y = 0."
The domain of the simplified expression is NOT the same as the original domain. These two expressions are equivalent expressions, which means they have the same values (answers) for all numbers that are in BOTH domains. The numbers in both domains will be the domain of the original expression, which is the more restrictive of the two domains.

When you simplify a rational expression, keep the original domain!

answera


bullet When working with Monomial Terms in a Rational Expression:

Simplify: NN1
Things to remember:
1. There will be a larger coefficient (number out front) "remaining" where there was a larger coefficient to "start".
In this case, the denominator of the coefficient will remain larger than the numerator.

2. There will be variables "remaining" where there were larger exponents to "start".

(The exponent of a "remaining" variable is the subtraction (top/bottom) of the exponents of those variables to "start".)

Example:

3.
The domain is the domain of the original expression.


bullet When working with Polynomials in Rational Expressions:

Simplify:NN2, NN3, NN4, NN6, NN5
Things to remember:
1. Look for factors first.

2. You cannot reduce "part" of a sum or difference.
Reduce "factors", not terms.
(In this example, the entire binomial factor was reduced.)

3. The domain is the domain of the original expression.

Example 1: (common factor)
simp5
Example 2: (factor perfect square)
simp6
Example 3: (factor trinomials, a = 1)simp7
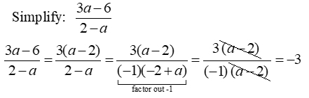
Example 4: (factor out -1)
When the "terms" in an expression are the same, but with opposite "signs", factor out -1 from one of the expressions to obtain your common factor.
simp8
Example 5: (factor trinomials, a ≠ 1)
sinp9

Pay particular attention to Example 4 above.

The concept of working with (a - b) and (b - a) will appear often.
It is the relationship between these two expressions that is important when factoring.
If either expression is multiplied by "-1", the result contains the other expression.

Given: (a - b)
Multiply by -1: -(a - b) = -a + b
Commute: -a + b = b - a
Result: (b - a)


-(a - b) = (b - a)
- (b - a) = (a - b)



divider


NOTE: The re-posting of materials (in part or whole) from this site to the Internet is copyright violation
and is not considered "fair use" for educators. Please read the "Terms of Use".