One of the beautiful things about mathematics is the variety of ways to express concepts.
In this lesson, we are going to use the structure of a rational expression
to rewrite it in different forms.
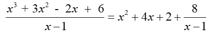
When we worked with polynomials, we worked with the Division Algorithm,
which expressed the division of two polynomials as
a quotient plus a remainder divided by the divisor.
By definition, rational expressions are in essence the "division" of two polynomials.
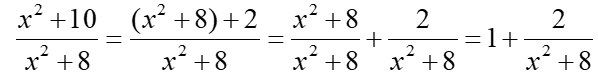
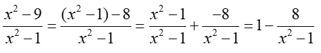
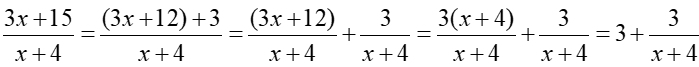
We are going to look at simple rational expressions to see if we can rewrite them
so to apply the concept of the Division Algorithm by simple modifications to the expression.
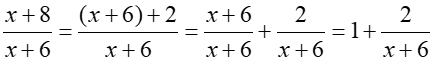
You can think of this process as "decomposing" a simple rational expression into an
entity that you called a "mixed number" when working with fractions in elementary school.
The rational expression will be transformed into the form stated by the Division Algorithm: 
Under long division, we saw results such as
where a rational expression = a quotient + a remainder.
